 |
number of hidden neurons specifies the number of neurons in the hidden layer. The default is 5.
|
 |
hidden layer type specifies the activation function type in the neurons of the hidden layer.
This VI supports the following activation functions for the hidden layer:
| Function type | Definition | Description |
| Sigmoid function |  | x is the activation value of the hidden neuron. |
| Tanh function |  | x is the activation value of the hidden neuron. |
| Rectified linear unit function |  | x is the activation value of the hidden neuron. |
| 0 | Sigmoid (default)—Sigmoid function | | 1 | Tanh—Tanh function | | 2 | ReLU—Rectified linear unit function |
|
 |
output layer type specifies the activation function type in the neurons of the output layer.
This VI supports the following activation functions for the output layer:
| Function type | Definition | Description |
| Sigmoid function |  | x is the activation value of the output neuron. |
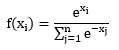
| Softmax function |  | x is the activation value of the output neuron and n is the number of classes. |
| 0 | Sigmoid (default)—Sigmoid function | | 1 | Softmax—Softmax function |
|
 |
cost function type specifies the type of the cost function. cost function type is always Cross-entropy if output layer type is Softmax.
This VI supports the following cost functions:
| Function type | Definition | Description |
| Quadratic function |  | t is the target value, y is the output value, and l is the number of training samples. |
| Cross-entropy function |  | t is the target value, y is the output value, l is the number of training samples, and n is the number of classes. |
| 0 | Quadratic (default)—Quadratic function | | 1 | Cross-entropy—Cross-entropy function |
|
 |
tolerance specifies the tolerance for the stopping criteria. The default is 0.0001. The model fitting stops if the change of training error between two successive optimization iterations is lower than tolerance.
|
 |
max iteration specifies the maximum number of optimization iterations for the stopping criteria. The default is 1000. The model fitting stops if the number of optimization iterations reaches max iteration.
|