ODE5次キャッシュ・カープ法
- 更新日2025-07-30
- 5分で読める
キャッシュ・カープ法を使用して、初期状態で常微分方程式を解きます。

入力/出力
X (変数名)
—
Xは変数の文字列の配列です。
開始時間
—
開始時間はODEの開始ポイントです。デフォルトは0です。
終了時間
—
終了時間は、調査対象の時間間隔の終了ポイントです。デフォルトは1.0です。
h (ステップレート)
—
hはアルゴリズムの最初のステップレートです。キャッシュ・カープアルゴリズムは、適応性のあるステップレートで動作します。デフォルトは 0.1 です。
X0
—
X0は、開始条件 x[10], …, x[n0] のベクトルです。 X0とXの要素間は1対1の関係です。
確度
—
確度は、解の確度を制御します。デフォルト値は0.0で、実際の解から計算された最大偏差を指定します。
時間
—
時間は時間変数を表す文字列です。デフォルトの変数はtです。
F(X,t) (常微分方程式
の右側はXとtの関数)
—
F(X,t)は、微分方程式の右辺を表す文字列の1次元配列です。フォーミュラでは有効な変数をいくつでも使用できます。
時間
—
時間は時間ステップを表す1D配列です。ODEキャッシュ・カープ法は、開始時間と終了時間間で任意に選択された時間ステップを求めます。
X値 (解)
—
X値は解ベクトルx[10]、 …、x[n] の2D配列です。 最上位指標は時間配列で指定されたように時間ステップを実行し、最下位指標はx[10]、…、x[n]の要素を実行します。
ティック
—
ティックは、演算全体の時間 (ミリ秒)です。
エラー
—
エラーは、VIからのエラーまたは警告を返します。X、X0、および、F(X,t)の入力に不正確な値を使用すると、エラーが発生します。エラーは「エラーコードからエラークラスタ」VIに配線して、エラーコードまたは警告をエラークラスタに変換できます。 |
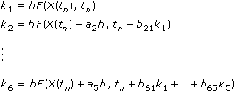
キャッシュ・カープ法は、適用性のあるステップレートと動作し、オイラー法またはルンゲ・クッタ法よりも効率的に計算されます。キャッシュ・カープ法は、埋め込み式ルンゲ・クッタの公式で、5次法 (6段階) に基づいています。

および

と
tn + 1 = tn + ha2, …, a6; b21, …, b65; c1, …, c6; および c1*, …, c6* は固定実数です。この選択によって方法の品質が決定します。
精度 値、旧ステップサイズ h、差分Δ=|X(tn +1)- X*(tn +1)|と次式により、実際のステップサイズhnewを 決定することができます。

以下の図は、3次元表現の常微分方程式の以下の系の解を示します。

上記の式と境界条件は、以下のようにフロントパネルに入力されます。
- 開始時間: 0.00
- 終了時間: 40.00
- X0: [0.6, 0.6, 0.6]
- F(X,t): [10*(y-x), x*(28-z) - y, x*y - (8/3)*z]
- X: [x,y,z]
サンプルプログラム
LabVIEWに含まれている以下のサンプルファイルを参照してください。
- labview\examples\Mathematics\Differential Equations - ODE\Planar Three Body Problem.vi
X (変数名)
—
開始時間
—
X0
—
時間
—
時間
—
X値 (解)
—
ティック
—
エラー
—