非一様数値積分
- 更新日2025-07-30
- 2分で読める
台形公式を使用し、入力配列で不均一に分布している値に数値積分を実行します。

入力/出力
X
—
Xには積分するデータが含まれます。このデータは、サンプリングポイントt0、t1、t2、…で被積分関数の値を計算することで取得します。ここで、t0、t1、t2、…はTの要素です。
T
—
Tは被積分項からXを計算するのに必要なサンプルポイントを含みます。サンプルポイントは不均一に分布されている場合があります。TはXと同じサイズでなければなりません。
結果
—
結果は数値積分を返します。
エラー
—
エラーは、VIからのエラーまたは警告を返します。エラーは「エラーコードからエラークラスタ」VIに配線して、エラーコードまたは警告をエラークラスタに変換できます。 |
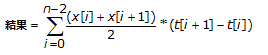
数値積分の実行前に、このVIは昇順でTを並べ替え、Tに対応するXを並べ替えます。次に、以下の式を使用して数値積分を実行します。

ここで、nはデータポイント数です。
X
—
結果
—
エラー
—