分割表
- 更新日2025-07-30
- 4分で読める
独立性を測るためにPearsonカイ二乗を計算します。χ²この関数は、分割表の行と列のカテゴリ変数が独立しているかどうかをテストします、

入力/出力
表
—
表は、カウントまたは発生頻度の入力分割表です。
x
—
xは、Pearsonカイ二乗検定の計算値です。χ
確率
—
確率またはp値は、テスト統計と同様の極値サンプル統計を観測する確率を返します。この値が必要な有意性水準より小さい場合は、行と列の変数間に関係性があるとみなされます。
エラー
—
エラーは、VIからのエラーまたは警告を返します。エラーは「エラーコードからエラークラスタ」VIに配線して、エラーコードまたは警告をエラークラスタに変換できます。 |
分割表 VI は、あなたの仮説を検証するために、均質性のχ² 検定と独立性のχ² 検定を使用します。仮説をテストする前に、各テストに関する確率の判定基準値を決めておきます。決めておいた確率の判定基準値により、仮説の成否を判断します。通常、確率には小さい値を選択します。一般には0.05を選択します。VIから返された確率の実際値が判定基準値よりも小さい場合は、仮説を却下することを検討してください。
均質性のχ² 検定では、VIは、1つのカテゴリー化スキームの各カテゴリーから、ある固定サイズの無作為標本を採取します。各サンプルでは、VIは2番目の方法に従って実験のオブジェクトを分類して、それらを照合します。このVIは仮説をテストして、各サンプルが抽出された個体郡が2番目の分類法に対して同様に分布されているかどうかを決定します。
独立性のχ²検定では、VIは全母集団から1つの標本しか取らない。VIは次に各オブジェクトを分類して、そのオブジェクトを2つの分類法で照合します。VIは、分類方法が互いに独立している仮説をテストします。
フォーミュラ
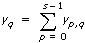
以下の場合の分割表の(pq)番目のセルのオカーレンス数をyp, q とします。
p = 0, 1, …, (s – 1) および q = 0, 1, …, (k – 1)
ここで、sは分割表の行数、kは分割表の列数です。
計算式は、次のとおりです。





このVIは、xを使用して確率を計算します。
p =Prob{X ≧ x}である。
ここで、 Xは χ²分布からの確率変数である。仮説が真であれば, x は ,自由度(s - 1) と(k - 1) を持つχ²分布から来た.
表
—
x
—
エラー
—