Interpolation spline
- Mise à jour2025-07-30
- Temps de lecture : 3 minute(s)
Renvoie une valeur interpolée spline à valeur de x pour les valeurs tabulées données (x[i], y[i]) et la seconde dérivée Interpolant que le VI obtient du VI Interpolant spline.

Entrées/Sorties
Y
—
Y est le tableau de valeurs tabulées de la variable dépendante.
X
—
X est le tableau de valeurs tabulées de la variable indépendante.
Interpolant
—
Interpolant est la dérivée seconde de la fonction d'interpolation spline cubique. Vous pouvez obtenir l'interpolant à partir du VI Interpolant spline. Le nombre d'éléments des trois tableaux en entrée X, Y et Interpolant doit être identique. Sinon, le VI définit la valeur d'interpolation à NaN et renvoie une erreur.
valeur de x
—
valeur de x est une valeur unique. valeur de x doit tomber dans la gamme [X0, Xn – 1].
valeur d'interpolation
—
valeur d'interpolation est l'interpolation par spline cubique de f au point valeur de x.
erreur
—
erreur renvoie toute erreur ou mise en garde générée par le VI. Vous pouvez câbler erreur au VI Convertir un code d'erreur en cluster d'erreur pour convertir le code d'erreur ou la mise en garde en cluster d'erreur. |
Les points sont formés par les tableaux en entrée X et Y.
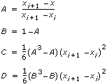
Sur l'intervalle [xi, xi + 1], la valeur d'interpolation de sortie y est définie par l'équation suivante :
y = Ayi + Byi + 1 + Cy"i + Dy"i + 1où

Exemples
Reportez-vous aux exemples de fichiers inclus avec LabVIEW suivants.
- labview\examples\Mathematics\Interpolation\Interpolation Solver.vi
Y
—
valeur de x
—
valeur d'interpolation
—
erreur
—