B样条拟合
- 更新时间2025-07-30
- 阅读时长2分钟
使用B样条拟合平滑数据集合。

一维B样条拟合VI
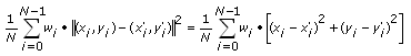
该VI依据下列方程最小化残差,计算最佳B样条拟合X和最佳B样条拟合Y:

其中, N 是 Y的长度, wi 是 Weight的第 i个元素,(xi,yi)是输入序列(X, Y)的第 i对,(x'i,y'i)是(最佳BSpline Fit X, 最佳BSpline Fit Y)的第 i对,函数两边的规范符号(||)计算向量的l2 规范。B样条曲线(x'i,y'i)由标准B样条基本函数建立。
下图为典型的B样条拟合结果。

n维B样条拟合VI
该VI依据下列方程最小化残差,计算最佳B样条拟合:

其中,Di为数据的第i行,D'i为最佳B样条拟合的第i行。
范例
请参考LabVIEW附带的下列范例文件。
- labview\examples\Mathematics\Fitting\B Spline Fitting Demo.vi