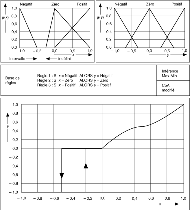
Intervalles de termes d'entrée non définis
- Mise à jour2023-02-21
- Temps de lecture : 1 minute(s)
Si la base de règles a des intervalles non définis dans des termes linguistiques d'entrée et de sortie, ou si la base de règles est incomplète, vous devez spécifier la sortie du régulateur flou. Si aucune règle n'est disponible pour une certaine situation, la valeur de sortie reste non définie. Une manière d'éviter ce problème est de laisser la valeur de sortie actuelle inchangée jusqu'à ce que le régulateur rencontre une situation couverte par les règles. L'image suivante montre l'effet sur les caractéristiques du régulateur.

Si vous utilisez une ancienne valeur de sortie comme valeur par défaut, les intervalles non définis ou bases de règles incomplètes peuvent entrainer des effets hystérétiques sur les caractéristiques du régulateur.
Vous pouvez utiliser des termes de conséquents rectangulaires et qui ne se chevauchent pas afin d'obtenir des caractéristiques de régulateur exactement linéaires pour un régulateur à une entrée. Dans ce cas, la surface et l'impulsion varient de manière linéaire avec le degré de vérité, et les régions qui se chevauchent des termes linguistiques de sortie ne génèrent pas de distortion.