Moyenne
- Mise à jour2025-07-30
- Temps de lecture : 1 minute(s)
Calcule la moyenne des valeurs de la séquence X en entrée. Vous devez sélectionner manuellement l'instance polymorphe que vous voulez utiliser.

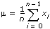
Ce VI calcule la moyenne à l'aide de la formule suivante :

où µ représente la moyenne et n le nombre d'éléments dans X.
Exemples
Reportez-vous aux exemples de fichiers inclus avec LabVIEW suivants.
- labview\examples\Mathematics\Probability and Statistics\Statistics Solver.vi