Fenêtre de Parzen
- Mise à jour2025-07-30
- Temps de lecture : 1 minute(s)
Applique une fenêtre de Parzen au signal X en entrée. Câblez des données à l'entrée X pour déterminer l'instance polymorphe à utiliser ou sélectionnez manuellement l'instance.

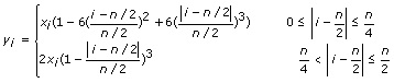
Si y représente la séquence X fenêtré en sortie, le VI Fenêtre de Parzen obtient les éléments de y en utilisant la formule suivante :

pour i = 0, 1, 2, …, n – 1, n étant le nombre d'éléments de X.
Exemples
Reportez-vous aux exemples de fichiers inclus avec LabVIEW suivants.
- labview\examples\Signal Processing\Windows\Window Comparison.vi