Selecting the Channel Filter
- Updated2025-10-08
- 8 minute(s) read
In general, the type of filter you use as your channel filter will depend upon the signal you are planning to create. For example, the TETRA standard requires you to use a Root Raised Cosine filter. RFmx Waveform Creator allows you to choose from 11 different filter types. The majority of these filter types are used in one or more digital modulation standards. In general, you use a filter to limit the occupied bandwidth of the signal or to shape the pulses as required by the modulation scheme you are simulating. You select the filter type by going to the Filter tab and selecting the Filter Type combo box. The following image shows a typical Filter tab.
The filter types available in RFmx Waveform Creator are given in the following list.
- Raised Cosine (Nyquist)
- Root Raised Cosine (Root Nyquist)
- Gaussian
- Gaussian EDGE
- CDMA2k Filters
- Ideal Low Pass
- Half Sine
- User
If you know the length of filter required, enter the number. But if you are unsure, then check the Estimate Filter Length box and click the Estimate button. The software calculates the filter length to give a filter that provides the ACP and EVM requested in the Required ACP and Required EVM boxes. The new estimates are presented. You can also estimate the expected performance of your filter by pressing the Estimate button for the length that you have chosen. In this case, do not have the Estimate Filter Length box checked.
You can also select a Window Type function as part of the filter setup. Essentially, the window is used to enhance the stop band capability of the filter. There is a trade-off between stop band and EVM. Select the window that best suits your needs. For more information about the window types, refer to the Selecting the window type topic. RFmx Waveform Creator recommends using the Parabolic window type.
You can also set the type of impulse function that RFmx Waveform Creator should use for filtering by selecting either the Dirac Impulse or Rect Impulse radio button. For more information about impulse types, refer to Selecting the impulse function.
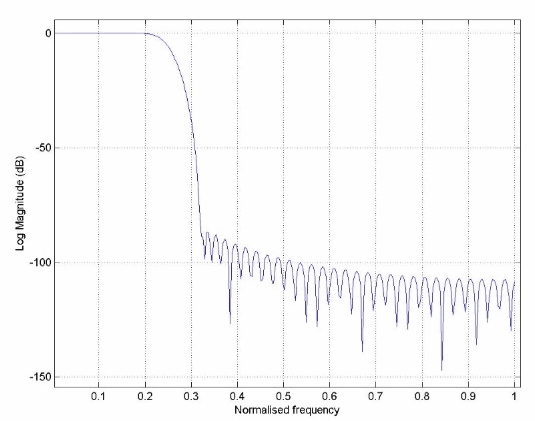
For this example, select a Root Raised Cosine (Root Nyquist) filter. Then in Alpha, set the bandwidth of the filter. In this case, select a value of 0.3.
Raised Cosine (Nyquist) Filter



Root Raised Cosine Filter



Gaussian Filter
The Gaussian filter has a frequency response that resembles a bell shape. This filter is used in GSM and in GFSK modulation schemes. The frequency response is given by:
Where B is the 3 dB bandwidth of the filter. The impulse response is given by:
where
and BT is used to define a normalized bandwidth. For GSM, BT is 0.3. The impulse response is shown in the following image.
Gaussian EDGE Filter
The Gaussian EDGE filter is a fixed filter that is defined for EDGE modulation. The filter is described as a linearized GMSK pulse. The response is defined as follows:
where
and
The impulse response of this filter is shown in the following image.
CDMA2k Filters
The RFmx Waveform Creator provides you with 6 different filters that are associated with CDMA2k (and IS95). The filters are as follows:
- CDMA2k 1x (Standard)
- CDMA2k 1x (Improved ACP)
- CDMA2k 1xPlusEqualization (Standard)
- CDMA2k 1xPlusEqualization (Improved ACP)
- CDMA2k 3xDS (Standard)
- CDMA2k 3xDS (Improved ACP)
CDMA2k 1x (Standard) and CDMA2k 3x DS (Standard) filters defined in the 3GPP2 C.S0002-C specification that are used for the reverse link 1x and 3x spreading rates. The filter CDMA2k 1xPlusEqualization (Standard) is the filter defined in the specification for the forward link.


Ideal Low Pass Filter
This filter has a frequency response of an ideal low pass filter with a frequency cut off that is equal to half the symbol rate.
The longer you make this filter, the sharper the cut off will be.
You can use this filter when you want to oversample without applying a shaping filter such as a root raised cosine. The impulse and frequency responses of this filter are shown in the following figures.
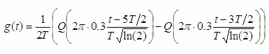
Half Sine Filter
The impulse response of a half sine filter is given by the following equation:
Where, 2Tc is the symbol period.
The impulse response of this filter is shown in the following figure.
User Filter Coefficients
RFmx Waveform Creator provides most of the common filter types that you are likely to encounter. However, there may be instances when you want to use your own special filter. To do this, select User from the Filter Type drop-down list. The User Coefficient File box allows you to browse the file.
You must set the over-sampling factor associated with the filter. This is generally done from the Modulation tab. The coefficients file must be an ASCII (text) file. Each coefficient is stored in floating point number format and delimited by commas, spaces or tabs, line feeds or carriage returns. For example, -0.025288315 -0.034167931 -0.035752323 -0.016733702 0.021602514 0.064938487 0.091002137 0.081894974 0.037071157 -0.021998074
Ideally, the sum of your coefficients should be equal to 1 to ensure unity gain through the filter. No other file format is currently supported.
Selecting the Impulse Function


In general, you would use a rectangular impulse for FSK systems, otherwise the Dirac impulse should be used. The default impulse function used by the RFmx Waveform Creator depends on the modulation scheme (or system) that you have selected. Unless you are an advanced user, keep to the default settings.