Determinante
- Aktualisiert2025-07-30
- 2 Minute(n) Lesezeit
Berechnet die Determinante der Eingangsmatrix. Zur Auswahl der polymorphen Instanz verbinden Sie Daten mit dem Eingang Eingangsmatrix oder wählen Sie die Instanz manuell aus.

Es seien A die quadratische Eingangsmatrix sowie L die untere und U die obere Dreiecksmatrix von A, so dass Folgendes gilt:
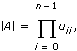
A = LUDie Elemente der Hauptdiagonalen der unteren Dreiecksmatrix L werden auf 1 gesetzt. Mit dem VI wird die Determinante von A bestimmt, indem das Produkt aus den Elementen der Hauptdiagonalen der oberen Dreiecksmatrix U gebildet wird:

wobei |A| die Determinante von X und n die Dimension von X ist.
Beispiele
Die folgenden Beispieldateien sind in LabVIEW enthalten.
- labview\examples\Mathematics\Linear Algebra\Linear Algebra Calculator.vi