定义PDE边界条件
- 更新时间2025-07-30
- 阅读时长4分钟
定义偏微分方程的边界条件。必须手动选择所需多态实例。

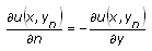
下表是定义在矩形域上的一维方程和二维方程的方向导数。
注: 如边界类型为Neumann,必须指定未知函数方向导数的值,而非x或y坐标轴导数的值。另外,不能在多边形域中指定Neumann条件。
| 位置 | 方向导数(一维) | 方向导数(矩形域) |
|---|---|---|
| 开始X | ![]() |
![]() |
| 结束X | ![]() |
![]() |
| 开始Y | N/A | ![]() |
| 结束Y | N/A | ![]() |
下列程序框图是定义一维波动方程边界条件的范例。开始X处的边界条件是Dirichlet,由VI定义。结束X处的边界条件是Neumann,由数值数组定义。

范例
请参考LabVIEW附带的下列范例文件。
- labview\examples\Mathematics\Differential Equations - PDE\PDE Flexible Element.vi
- labview\examples\Mathematics\Differential Equations - PDE\PDE String Vibration.vi
- labview\examples\Mathematics\Differential Equations - PDE\PDE Thermal Distribution.vi





