标准差和方差
- 更新时间2025-07-30
- 阅读时长3分钟
计算输入序列X的均值、标准差和方差。

输入/输出
X
—
X是输入序列。
权(采样)
—
权确定计算总体或采样标准差和方差。
均值
—
均值是输入序列X中各值的平均。
标准差
—
标准差是由输入序列X计算的标准差。
方差
—
方差是由输入序列X的值计算的方差。 |
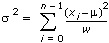
该VI通过下列等式计算输出值。

µ为均值,n是X中的元素数。
标准偏差 = σ
其中,σ² 为 方差,µ 为 均值, w 在 加权 设置为 总体 时为 n ,在 加权 设置为 样本时为(n - 1)。
范例
请参考LabVIEW附带的下列范例文件。
- labview\examples\Mathematics\Probability and Statistics\Statistics Solver.vi
- labview\examples\Signal Processing\Spectral Analysis\Power & Frequency Estimator.vi
- labview\examples\Mathematics\Probability and Statistics\Noise Statistics.vi
X
—
权(采样)
—
均值
—