均值(DBL)
- 更新时间2025-07-30
- 阅读时长2分钟
计算输入序列X的均值。必须手动选择多态实例。

输入/输出
X
—
X是输入序列。输入序列X为空时均值为NaN。
均值
—
均值是输入序列X中各值的平均。
错误
—
错误返回VI的任何错误或警告。将错误连接至错误代码至错误簇转换VI,可将错误代码或警告转换为错误簇。 |
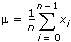
该VI使用下列等式计算均值。

µ为均值,n是X中的元素数。
范例
请参考LabVIEW附带的下列范例文件。
- labview\examples\Mathematics\Probability and Statistics\Statistics Solver.vi
X
—
均值
—
错误
—