列联表
- 更新时间2025-07-30
- 阅读时长3分钟
计算Pearson χ²独立性测试。该函数可用于判断列联表的行和列分类变量是否独立。

输入/输出
表格
—
表格是计数或频率的输入列联表。
x
—
x是计算的Pearson's χ²测试统计。
概率
—
概率或p值返回观察采样统计(与测试统计程度相同)的概率。如果该值小于期望的重要级,应该推断出行变量和列变量之间存在一定的关系。
错误
—
错误返回VI的任何错误或警告。将错误连接至错误代码至错误簇转换VI,可将错误代码或警告转换为错误簇。 |
应变表六使用同质性的χ²检验和独立性的χ²检验来检验你的假设。在检验假设之前,应确定每个测试的概率的最小值。概率的最小值可确定是否接受假设。通常,概率选取的值较小。一般选择0.05。如VI返回的实际概率值小于确定的值,可拒绝假设。
在同质性的χ²检验中,VI从一个分类方案中的每个类别中随机抽取某个固定规模的样本。对于每个采样,VI依据第二个模式对检验对象分类并加以标记。VI通过对假设进行检验,确定从中获取采样的总体的分布(根据第二个分类模式)是否一致。
对于χ²独立性检验,VI只从总人口中抽取一个样本。然后,VI对每个对象进行分类并在两个分类模式中对其进行标记。VI可对分类模式独立的假设进行检验。
公式
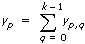
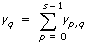
如yp, q是列联表中第(pq)个单元格中的发生次数
p = 0, 1, …, (s – 1) and q = 0, 1, …, (k – 1),
s是列联表格中的行数,k是列联表格中的列数。
如





VI通过x计算概率。
p =Prob {X ≥ x}
其中 X 是一个来自χ²分布的随机变量。如果假设为真,则 x 来自χ²分布,自由度为(s - 1)和(k - 1)。
表格
—
x
—
错误
—