표준편차와 분산
- 업데이트 날짜:2025-07-30
- 2분 (읽기 시간)
입력 시퀀스 X 값의 평균, 표준편차, 분산을 계산합니다.

입력/출력
X
—
X는 입력 시퀀스입니다.
가중치(샘플)
—
가중치는 모집단을 계산할지 또는 샘플 표준편차와 분산을 계산할지 여부를 결정합니다.
평균
—
평균은 입력 시퀀스 X에 있는 값들의 평균입니다.
표준편차
—
표준 편차는 입력 시퀀스 X의 값으로 계산한 표준 편차입니다.
분산
—
분산은 입력 시퀀스 X의 값의 계산된 분산입니다. |
이 VI는 다음 방정식을 사용하여 출력값을 계산합니다.

이 때 μ는 평균이며 n은 X의 원소 개수입니다.
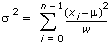
표준 편차 = σ
여기서 σ²는 분산, µ는 평균, w는 가중치가 모집단으로 설정된 경우 n , 가중치가 표본으로설정된 경우(n - 1)입니다.
예제
LabVIEW 포함되는 다음 예제 파일을 참조하십시오.
- labview\examples\Mathematics\Probability and Statistics\Statistics Solver.vi
- labview\examples\Signal Processing\Spectral Analysis\Power & Frequency Estimator.vi
- labview\examples\Mathematics\Probability and Statistics\Noise Statistics.vi
X
—
가중치(샘플)
—
평균
—