평균(DBL)
- 업데이트 날짜:2025-07-30
- 2분 (읽기 시간)
입력 시퀀스 X 값의 평균을 계산합니다. 반드시 사용할 다형성 인스턴스를 수동으로 선택해야 합니다.

입력/출력
X
—
X는 입력 시퀀스입니다. 입력 시퀀스 X가 비어 있는 경우, 평균은 NaN입니다.
평균
—
평균은 입력 시퀀스 X에 있는 값들의 평균입니다.
에러
—
에러는 VI로부터 모든 에러 또는 경고를 반환합니다. 에러를 [에러 코드를 에러 클러스터로] VI에 연결하여 에러 코드 또는 경고를 에러 클러스터로 변환할 수 있습니다. |
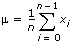
VI는 다음 식을 사용하여 평균을 계산합니다.

이 때 μ는 평균이며 n은 X의 원소 개수입니다.
예제
LabVIEW 포함되는 다음 예제 파일을 참조하십시오.
- labview\examples\Mathematics\Probability and Statistics\Statistics Solver.vi
X
—
평균
—
에러
—