標準偏差と分散
- 更新日2025-07-30
- 3分で読める
入力シーケンスXの値の平均、標準偏差、分散を計算します。

入力/出力
X
—
Xは入力シーケンスです。
加重 (サンプル)
—
加重は、母集団またはサンプルの標準偏差および分散を計算するかを指定します。
平均
—
平均は、入力シーケンスXの値の平均値です。
標準偏差
—
標準偏差は、入力シーケンスXの値から計算された標準偏差です。
分散
—
分散は、入力シーケンスXの値の計算された分散です。 |
このVIは、以下の式を使用して出力値を計算します。

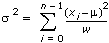
ここで、μは平均、nはXの要素数です。
標準偏差 =σ
ここで σ² は 分散,μ は 平均, w は 重みづけが 母集団に 設定されている場合は n で , 重みづけが 標本に設定されている場合は(n - 1)である.
サンプルプログラム
LabVIEWに含まれている以下のサンプルファイルを参照してください。
- labview\examples\Mathematics\Probability and Statistics\Statistics Solver.vi
- labview\examples\Signal Processing\Spectral Analysis\Power & Frequency Estimator.vi
- labview\examples\Mathematics\Probability and Statistics\Noise Statistics.vi
X
—
加重 (サンプル)
—
平均
—