TSA Deviation and Variance VI
- Updated2025-12-08
- 2 minute(s) read
Computes the standard deviation, variance, and coefficients of variation values of a univariate or multivariate (vector) time series. Wire data to the Xt input to determine the polymorphic instance to use or manually select the instance.

TSA Deviation and Variance Details
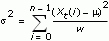
This VI calculates the standard deviation and variance values according to the following equations:


where m is the arithmetic mean, s² is variance, s is standard deviation, n is the number of time series Xt. w = n when weighting is set to Population and w = (n-1) when weighting is set to Sample.
This VI calculates the coefficients of variation according to the following equation:

Examples
Refer to the following VIs for examples of using the TSA Deviation and Variance VI:
- Engine Knocking Monitor VI: labview\examples\Time Series Analysis\TSAApplications
- Power Line Monitor VI: labview\examples\Time Series Analysis\TSAApplications
- ARMA Prediction VI: labview\examples\Time Series Analysis\TSAGettingStarted
- Series Statistical Analysis VI: labview\examples\Time Series Analysis\TSAGettingStarted