TSA Covariance VI
- Updated2024-07-30
- 2 minute(s) read
Computes the covariance matrix or correlation matrix of a multivariate (vector) time series. Wire data to the Xt input to determine the polymorphic instance to use or manually select the instance.

TSA Covariance Details
When normalized? is FALSE, this VI calculates the covariance matrix for a multivariate time series m according to the following equation:

xi, as a row vector, is the ith channel time series. mi is the arithmetic mean of xi. The dimension of the covariance matrix is mxm. w is weighting. w=n when weighting is set to Population. w=n-1 when weighting is set to Sample.
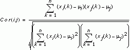
When normalized? is TRUE, this VI calculates the correlation coefficient matrix according to the following equation:

The above operation is equivalent to unifying each channel xi with zero mean and unit energy and then calculating the covariance matrix of the unified multivariate time series.