Decimate (continuous) VI
- Updated2025-07-30
- 2 minute(s) read
Continuously decimates the input sequence X by the decimating factor and the averaging Boolean control. Wire data to the X input to determine the polymorphic instance to use or manually select the instance.

If Y represents the output sequence Decimated Array, the Decimate (continuous) VI obtains the elements of the sequence Y using the following equation.
If averaging is FALSE:
Yi=xi*m+sfor i = 0, 1, 2,…, size–1,
If averaging is TRUE:
for i = 0, 1, 2,…, size–1,
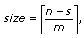
where n is the number of elements in X, m is the decimating factor, s is the start index, size is the number of elements in the output sequence Decimated Array,
gives the smallest integer greater than or equal to the number, and
gives the largest integer less than or equal to the number.
Examples
Refer to the following example files included with LabVIEW.
- labview\examples\Signal Processing\Signal Operation\Continuous Decimating.vi