Berechnet den Mittelwert der Werte in der Eingangsfolge X. Sie müssen die gewünschte Instanz des polymorphen VIs manuell auswählen.


icon

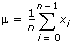
Die Berechnung des Parameters Mittelwert erfolgt nach der Gleichung:

wobei µ der Mittelwert und n die Anzahl der Elemente in X ist.

Beispiele

Die folgenden Beispieldateien sind in LabVIEW enthalten.

  • labview\examples\Mathematics\Probability and Statistics\Statistics Solver.vi