Sphärische Optimierung
- Aktualisiert2025-07-30
- 2 Minute(n) Lesezeit
Findet die beste Kugelanpassung für eine Schar von Punkten in drei Dimensionen.

Ein-/Ausgänge
X
—
X enthält die x-Koordinaten der Punktmenge.
Y
—
Y enthält die y-Koordinaten der Punktmenge.
Z
—
Z enthält die z-Koordinaten der Punktmenge.
x0, y0, z0
—
x0, y0, z0 sind die berechneten Mittelpunkte der gegebenen Punktmenge.
r
—
r ist der berechnete Radius der gegebenen Punktmenge.
Fehler
—
Fehler gibt alle Fehler oder Warnungen des VIs aus. Die meisten Fehlersituationen resultieren aus Unterschieden zwischen den Größen von X, Y und Z. Sie können Fehler mit dem VI Fehler-Cluster aus Fehlercode verbinden, um den Fehlercode oder die Warnung in einen Fehler-Cluster umzuwandeln. |
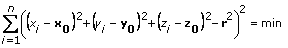
Das min-Funktional geht auf einen ungewöhnlichen Ansatz zurück: Ermittlung von x0, y0, z0 und r anhand von

Daraus ergibt sich eine einfache lineare Gleichung mit x0, y0, z0, wobei (xi, yi, zi) die gegebenen Punkte sind, (x0, y0, z0) der unbekannte Mittelpunkt und r der unbekannte Radius ist.
Beispiele
Die folgenden Beispieldateien sind in LabVIEW enthalten.
- labview\examples\Mathematics\Fitting\Sphere Fit.vi
X
—
x0, y0, z0
—
r
—
Fehler
—