drotmg - Parameter der schnellen Givens-Rotation (DBL)
- Aktualisiert2025-07-30
- 3 Minute(n) Lesezeit
Berechnet eine Matrix nach der schnellen Givens-Rotation, bei der die y-Komponente eines reellen 2-Element-Vektors auf null gesetzt wird, und dazugehörige Parameter. Sie können die Ausgabeparameter im VI drotm - Schnelle Givens-Rotation (DBL) verwenden.

Ein-/Ausgänge
x
—
x ist die reelle x-Komponente am Eingang für einen 2-Element-Vektor.
y
—
y ist die reelle y-Komponente am Eingang für einen 2-Element-Vektor.
d1 (Eingang)
—
d1 (Eingang) ist der reelle Skalierungsfaktor für x.
d2 (Eingang)
—
d2 (Eingang) ist der reelle Skalierungsfaktor für y.
Rotationsmatrix-Flag
—
Rotationsmatrix-Flag gibt die Flag der Rotationsmatrix aus. Die Rotationsmatrix-Flag kann –2, –1, 0 oder 1 lauten.
r
—
r gibt die x-Komponente nach der Givens-Rotation aus.
d1 (Ausgang)
—
d1 (Ausgang) gibt den neuen Skalierungsfaktor für die x-Komponente aus.
d2 (Ausgang)
—
d2 (Ausgang) gibt den neuen Skalierungsfaktor für die y-Komponente aus.
Fehler
—
Fehler gibt alle Fehler oder Warnungen des VIs aus. Zur Umwandlung eines Fehlercodes oder einer Warnung in einen Fehler-Cluster verbinden Sie Fehler mit dem VI Fehler-Cluster aus Fehlercode.
Rotationsmatrix
—
Rotationsmatrix gibt nach der schnellen Givens-Rotation die 2 × 2 Rotationsmatrix aus. |
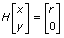
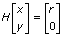
Die Parameter der schnellen Givens-Rotation werden nach folgender Gleichung berechnet:

wobei H die Rotationsmatrix ist.
Die Rotationsmatrix und die Skalierungsparameter müssen folgende Gleichung erfüllen:

Je nach Rotationsmatrix-Flag haben bestimmte Elemente in der Rotationsmatrix H eine andere Struktur und einen anderen Wert.
| Ist die Rotationsmatrix-Flag 1, entspricht H = | ![]() |
| Ist die Rotationsmatrix-Flag 0, entspricht H = | ![]() |
| Ist die Rotationsmatrix-Flag –1, entspricht H = | ![]() |
| Ist die Rotationsmatrix-Flag –2, entspricht H = | ![]() |
wobei h11, h12, h21 und h22 die Elemente der Rotationsmatrix sind.
Weitere Informationen zu BLAS-Funktionen finden Sie auf der Website BLAS (Basic Linear Algebra Subprograms) auf netlib.org.
Beispiele
Die folgenden Beispieldateien sind in LabVIEW enthalten.
- labview\examples\Mathematics\Linear Algebra\QR decomposition update by Givens rotation.vi
x
—
Rotationsmatrix-Flag
—
r
—
Rotationsmatrix
—



