Standardabweichung und Varianz
- Aktualisiert2025-07-30
- 2 Minute(n) Lesezeit
Berechnet das Mittel, die Standardabweichung und die Varianz der Werte in der Eingangsfolge X.

Ein-/Ausgänge
X
—
X ist die Eingangsfolge.
Gewichtung (Stichprobe)
—
Mit Gewichtung wird festgelegt, ob die Standardabweichung und Varianz der Grundgesamtheit oder der Stichprobe berechnet wird.
Mittelwert
—
Mittelwert ist der Mittelwert (Durchschnitt) der Werte der Eingangsfolge X.
Standardabweichung
—
Standardabweichung ist die berechnete Standardabweichung der Eingangsfolge X .
Varianz
—
Varianz ist die berechnete Varianz der Werte der Eingangsfolge X. |
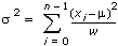
Die Ausgangswerte werden anhand folgender Gleichung berechnet:

wobei µ der Mittelwert und n die Anzahl der Elemente in X ist.
standardabweichung = σ
wobei σ² die Varianz, µ der Mittelwertund w n ist, wenn die Gewichtung auf Population eingestellt ist, und(n - 1), wenn die Gewichtung auf Stichprobeeingestellt ist.
Beispiele
Die folgenden Beispieldateien sind in LabVIEW enthalten.
- labview\examples\Mathematics\Probability and Statistics\Statistics Solver.vi
- labview\examples\Signal Processing\Spectral Analysis\Power & Frequency Estimator.vi
- labview\examples\Mathematics\Probability and Statistics\Noise Statistics.vi
X
—
Gewichtung (Stichprobe)
—
Mittelwert
—