Dezimieren (kontinuierlich)
- Aktualisiert2025-07-30
- 2 Minute(n) Lesezeit
Verringert die Eingangsfolge X um kontinuierlich um den Dezimierfaktor und um den Mittelwert. Zur Auswahl der polymorphen Instanz verbinden Sie Daten mit dem Eingang X oder wählen Sie die Instanz manuell aus.

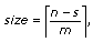
Die Ausgangsfolge Y von Dezimiertes Array wird nach folgender Gleichung ermittelt:
Wenn Mittelwertbildung FALSE ist:
Yi=xi*m+sfür i = 0, 1, 2, …, Größe–1,

Wenn Mittelwertbildung TRUE ist:

für i = 0, 1, 2, …, Größe–1,

wobei n die Anzahl der Elemente in X ist, m der Dezimierfaktor, s der Startindex, Größe die Anzahl der Elemente in der Ausgangsfolge Dezimiertes Array,
die kleinste Ganzzahl, die größer oder gleich der Zahl ist und
die größte Ganzzahl kleiner oder gleich der Zahl ist.
Beispiele
Die folgenden Beispieldateien sind in LabVIEW enthalten.
- labview\examples\Signal Processing\Signal Operation\Continuous Decimating.vi