给定(x[i], y[i])和通过样条插值VI得到的二阶导数插值,返回x值的样条插值。


icon

输入/输出

  • c1ddbl.png Y

    Y是由因变量值组成的数组。

  • c1ddbl.png X

    X是由自变量值组成的数组。

  • c1ddbl.png 内插

    内插是三次插值样条函数的二阶导数。通过样条内插VI可获得内插

    三个输入数组XY内插中的元素数量必须一致。否则,VI可设置插值输出为NaN并返回错误。

  • cdbl.png x值

    x值是单个值。

    x值应该位于[X0, Xn-1]范围之内。

  • idbl.png 插值点值

    插值点值是f在x值处的三次样条插值。

  • ii32.png 错误

    错误返回VI的任何错误或警告。将错误连接至错误代码至错误簇转换VI,可将错误代码或警告转换为错误簇。

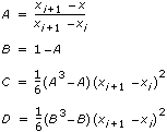
  • 点由输入数组XY确定。

    在区间[xi, xi + 1],下列等式为输出插值y。

    y = Ayi + Byi + 1 + Cy"i + Dy"i + 1

    其中

    范例

    请参考LabVIEW附带的下列范例文件。

    • labview\examples\Mathematics\Interpolation\Interpolation Solver.vi