球面拟合
- 更新时间2025-07-30
- 阅读时长2分钟
计算三维空间中点云的最佳球面拟合。

输入/输出
X
—
X是点云的x坐标。
Y
—
Y是点云的y坐标。
Z
—
Z是点云的z坐标。
x0, y0, z0
—
x0, y0, z0是点云的中点。
r
—
r是点云的半径。
错误
—
错误返回VI的任何错误或警告。大多数错误是由X、Y及Z大小不一致引起。将错误连接至错误代码至错误簇转换VI,可将错误代码或警告转换为错误簇。 |
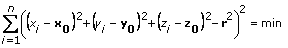
通过下列函数得到x0, y0, z0,和r

得到关于x0, y0, z0的简单线性方程,(xi, yi, zi)是给定的点,(x0, y0, z0)是未知的中点,r是未知的半径。
范例
请参考LabVIEW附带的下列范例文件。
- labview\examples\Mathematics\Fitting\Sphere Fit.vi
X
—
x0, y0, z0
—
r
—
错误
—